Bis(HexaMethylene Triamine Penta (Methylene Phosphonic Acid)) BHMTPMPA
  Polyamino Polyether Methylene Phosphonae
  HexaMethyleneDiamineTetra (MethylenePhosphonic Acid) HMDTMPA
  2-Hydroxyphosphonocarboxylic Acid (HPAA)
  Polyhydric alcohol phosphate ester (PAPE)
  2-Phosphonobutane -1,2,4-Tricarboxylic Acid
  Diethylene Triamine Penta (Methylene Phosphonic Acid) (DTPMPA)
  Ethylene Diamine Tetra (Methylene Phosphonic Acid)
  Ethylene Diamine Tetra (Methylene Phosphonic Acid) Sodium (EDTMPS)
  1-Hydroxy Ethylidene-1,1-Diphosphonic Acid
  Amino Trimethylene Phosphonic Acid (ATMP)
Home -->> Products Show
Amino Trimethylene Phosphonic Acid (ATMP)
Product Model:[CAS No.] 6419-19-8
CAS No.  6419-19-8
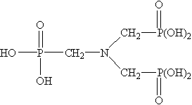
Molecular Formula:   N(CH2PO3H2)3                 Molecular weight:  299.05
Structural Formula:

Properties:
ATMP has excellent chelation, low threshold inhibition and lattice distortion ability. It can prevent scale formation, calcium carbonate in particular, in water system. ATMP has good chemical stability and is hard to be hydrolyzed in water system. At high concentration, it has good corrosion inhibition. ATMP is used in industrial circulating cool water system and oilfield water pipeline in fields of thermal power plant and oil refinery plant. ATMP can decrease scale formation and inhibit corrosion of metal equipment and pipeline. ATMP can be used as chelating agent in woven and dyeing industries and as metal surface treatment agent. The solid state of ATMP is crystal powder, soluble in water, easily deliquescence, suitable for usage in winter and freezing districts. Because of its high purity, it can be used in woven & dyeing industries and as metal surface treatment agent.

Specification:

items

index

Appearance

colorless or light yellow transparent liquid

White crystal powder

Active acid %

48.0-52.0

95min

Chloride (as Cl-)%

2.0max

1.0 min

pH value (1% solution)

2.0 max

2.0 max

Fe (as Fe3+) (ppm)

20.0max

20.0max

Density (20¡æ)g/cm3

1.33 min

-

Colour APHA (Hazen)

60max

-


Usage:
ATMP is usually used together with organophosphoric acid, polycarboxylic acid and salt to built all organic alkaline water treatment agent. ATMP can be used in many different circulating cool water system. The dosage of 1-20mg/L is recommended. As corrosion inhibitor, the dosage of 20-60mg/L is preferred.

Package and Storage:
ATMP liquid: Normally In 250kg net Plastic Drum, IBC drum can also be used as required ATMP solid: 25kg inner liner polyethylene (PE) bag, outer plastic woven bag, or confirmed by clients.
Storage for ten months in room shady and dry place.

Safety Protection:
Acidity, Avoid contact with eye and skin, once contacted, flush with water.

Synonyms:
ATMP;ATMPA;ATMP(A);Amino Trimethylene Phosphonic Acid;AMINO TRI(METHYLENE PHOSPHONIC ACID); Tris(Methylene Phosphonic Acid) Amine
¡¡¡¡¡¡Copyright 2010 OuMao Chemical (HongKong) Co.,LimiTed. All Reseved¡¡Home¡¡ | ¡¡About Us¡¡ |¡¡ Products¡¡ | ¡¡Feedback¡¡ |¡¡ Contact Us¡¡ ¡¡ Designed by : Zhonghuan Internet